Skip to main content

Form 3903 - Jan 2022

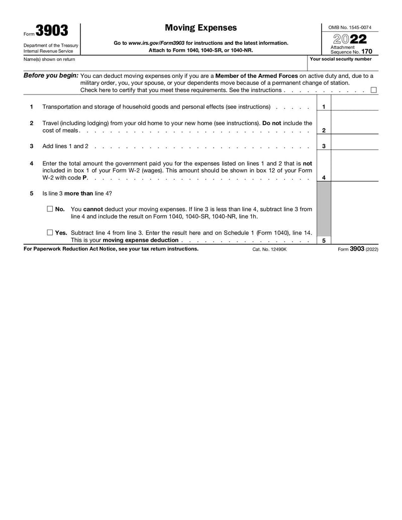
Form 3903 is used by individuals who want to claim moving expenses for a job-related move. It is provided by the Internal Revenue Service (IRS). This form is for taxpayers who have incurred eligible moving expenses and wish to deduct them from their taxable income. The form is accessible and can be filled out electronically. Once completed, the form should be submitted to the IRS for processing.

Used 7 times

  • Copy link
  • Report

Effortlessly edit PDFs anywhere

  • Save time and tackle any paperwork task with ease
  • Handle confidential information and signatures securely
  • Send work, negotiate terms and sign everything off with Lumin Sign
Large thumbnail of Form 3903 - Jan 2022
1/1
Thumbnail of Form 3903 - Jan 2022 - page 0

Used 7 times

You might also like

Lumin logo
Lumin logo
Lumin logo
Lumin logo
Lumin logo
Lumin logo

Frequently asked questions

Discover Lumin’s products

Collaborate with existing colleagues and onboard new ones with Lumin and Lumin Sign. Our innovative solutions work great on their own, but they’re even better together.

Lumin image

Lumin

An easy-to-use PDF editor that stands alone or integrates with Google Workspace.

Learn more
Lumin Sign image

Lumin Sign

A digital signature workflow tool that seals deals with legally-compliant signatures.

Learn more
Lumin Sign API image

Lumin Sign API

An eSignature API designed to be plugged into your platform with minimal effort.

Learn more