Skip to main content

Kentucky Public School District Section 504 Manifestation Determination Review Form

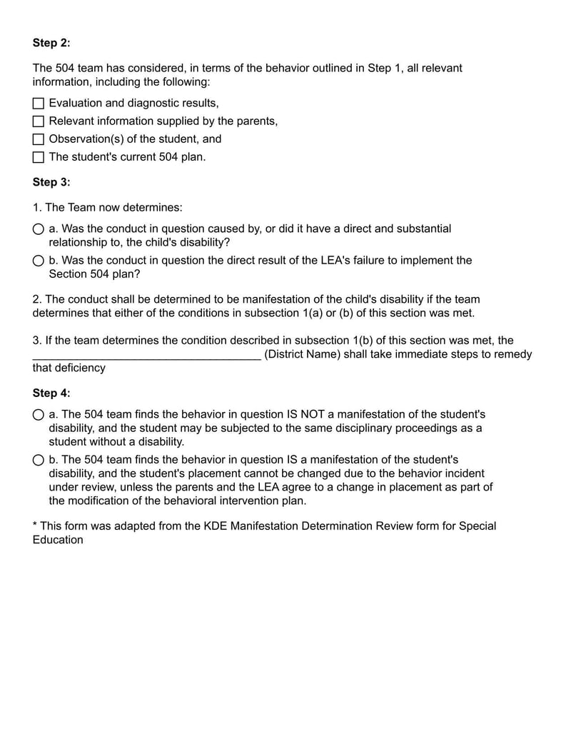
The Kentucky Public School District Section 504 Manifestation Determination Review Form is used to review the manifestation determination in relation to Section 504 of the Kentucky Public School District.

Used 25 times

  • Copy link
  • Report

Effortlessly edit PDFs anywhere

  • Save time and tackle any paperwork task with ease
  • Handle confidential information and signatures securely
  • Send work, negotiate terms and sign everything off with Lumin Sign
Kentucky Public School District Section 504 Manifestation Determination Review Form legal writer
Lawyer-reviewed for legal accuracy and compliance
Large thumbnail of Kentucky Public School District Section 504 Manifestation Determination Review Form
Large thumbnail of Kentucky Public School District Section 504 Manifestation Determination Review Form
1/2
Thumbnail of Kentucky Public School District Section 504 Manifestation Determination Review Form - page 0
Thumbnail of Kentucky Public School District Section 504 Manifestation Determination Review Form - page 1

Used 25 times

Frequently asked questions

Discover Lumin's products

Collaborate with existing colleagues and onboard new ones with Lumin and Lumin Sign. Our innovative solutions work great on their own, but they're even better together.

Lumin image

Lumin

An easy-to-use PDF editor that stands alone or integrates with Google Workspace.

Learn more
Lumin Sign image

Lumin Sign

A digital signature workflow tool that seals deals with legally-compliant signatures.

Learn more
Lumin Sign API image

Lumin Sign API

An eSignature API designed to be plugged into your platform with minimal effort.

Learn more