Skip to main content

SD EForm - 2115LD V1 - May 2015

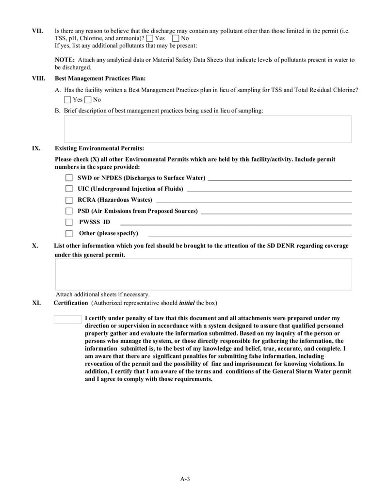
This form is used to submit a Notice of Intent for a Water Treatment Plant to the South Dakota Department of Environment and Natural Resources. The form includes information about the facility and the water source.

Used 20 times

  • Copy link
  • Report

Effortlessly edit PDFs anywhere

  • Save time and tackle any paperwork task with ease
  • Handle confidential information and signatures securely
  • Send work, negotiate terms and sign everything off with Lumin Sign
Large thumbnail of SD EForm - 2115LD V1 - May 2015
Large thumbnail of SD EForm - 2115LD V1 - May 2015
Large thumbnail of SD EForm - 2115LD V1 - May 2015
Large thumbnail of SD EForm - 2115LD V1 - May 2015
1/4
Thumbnail of SD EForm - 2115LD V1 - May 2015 - page 0
Thumbnail of SD EForm - 2115LD V1 - May 2015 - page 1
Thumbnail of SD EForm - 2115LD V1 - May 2015 - page 2
Thumbnail of SD EForm - 2115LD V1 - May 2015 - page 3

Used 20 times

You might also like

Lumin logo
Lumin logo
Lumin logo
Lumin logo
Lumin logo
Lumin logo

Frequently asked questions

Discover Lumin’s products

Collaborate with existing colleagues and onboard new ones with Lumin and Lumin Sign. Our innovative solutions work great on their own, but they’re even better together.

Lumin image

Lumin

An easy-to-use PDF editor that stands alone or integrates with Google Workspace.

Learn more
Lumin Sign image

Lumin Sign

A digital signature workflow tool that seals deals with legally-compliant signatures.

Learn more
Lumin Sign API image

Lumin Sign API

An eSignature API designed to be plugged into your platform with minimal effort.

Learn more